Skip to main content

Electrostatic Potential (V) Due To An Electric Dipole

#3. Electrostatic Potential Due To An Electric Dipole


We already know that electric dipole is an arrangement which consists of two equal and opposite charges +q and -q separated by a small distance 2a. Electric dipole moment is represented by a vector p of magnitude 2qa and this vector points in direction from -q to +q. To find electric potential at point P due to a dipole consider charge -q and charge +q separated by a distance 2a.  r1 and r2 respectively are distance of charge +q and -q from point P.
Since electric potential obeys superposition principle so the net potential due to electric dipole as a whole would be sum of potential due to both the charges +q and -q. Thus

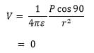
Special Cases

Potential at a point on the axial line i.e θ = 0
Potential at a point on the equatorial line i.e θ = 0 


Comments

Popular posts from this blog

Equipotential Surface Class 12 Physics Electrostatic Potential Surfaces And Capacitance

#4. Equipotential Surface Equipotential is the surface which has equal potential at every point on it. Equipotential surface due to a single point charge are concentric spheres having the charge at the center. All the points on a sphere around a point charge have the same distance (radius) so all have same potential. Equipotential surface for a line charge is cylinder  Properties of Equipotential Surface Work done for moving a charge on an equipotential surface is zero The potential difference between any two points on equipotential surface is zero  Electric Field is always perpendicular to an equipotential surface Equipotential surface for a single point charge are concentric spheres having the charge at the center Two equipotential surfaces can never intersect.  Browse more topics under Electrostatic Potential & Capacitance Electrostatic Potential, Potential Energy, Potential Energy Difference Potential Due To A Point Charge Potential Due To An Electric Dipole ...

Van de Graaff Generator Class 12 Physics Electrostatic Potential And Capacitance

Van de Graaff Generator     It is an arrangement established by Van De Graaff to building up high potential difference of order 10^7 volts. It works on the following two principles The charges given to the sphere spread to the outer surface of the conductor                  if two concentric spherical conductors are connected by a wire, the charges will flow from the inner conductor to outer conductor, whatever be the potential of the conductor.     2. Discharging action of sharp points ( Corona Discharge )          The surface charge density of a conductor is  σ =Q/A.   which means the charge density is more in small or sharp region.  Construction Of Van de Graaff Generator It consisted of a large hollow metallic sphere mounted on two insulated supporting columns. An endless belt of an  insulating material (Nylon) is mounted on pulleys P1 & P2 which is run by a motor. ...

Capacitor And Capacitance Class 12 Physics Notes

#9. Capacitor And Capacitance  What is a Capacitor? The capacitor is the device that is used to store electrical energy. It consisted of two electrical conductors separated by a distance. The space between the conductors may be filled with an insulating material known as dielectric. The ability of capacitor to store charge is known as capacitance . This is the symbolic representation of the capacitor Working Of The Capacitor Before explaining the working of a capacitor, let's consider this basic circuit diagram of parallel plate capacitor. There are two conductors plates separated by a small distance 'd'. The space between the conductors is filled with dielectric.  The working of the capacitor can be divided into two parts (1) charging of the capacitor (2) discharging of the capacitor Charging of the capacitor When we connect the DC supply to the capacitor, one plate is connected to the positive plate and the other plate is connected to the negative plate. When the potentia...